手把手教你Lambda式类型推导,C++老登都能看懂(2)
CAUTION
C++老登其实看不懂
NOTE
预备知识:你需要熟悉 Haskell 的基本语法,了解递归和高阶函数。例如,你应该能自己实现 zipWith、map 这样的函数。
对应代码:https://github.com/xiaoshihou514/xingli
WARNING
本文中 unifyCtx 的实现是错误的,详见勘误。
引言
上回我们实现了类型推导的前两种情况(变量和抽象),但卡在了最复杂的应用情况上。我们需要想办法统一应用中函数和值的类型:
pp' ctx (Ap m n) = s2 . s1 $ (ctx1 `union` ctx3, a)
where
(ctx1, p1) = pp' ctx m
(ctx2, p2) = pp' ctx1 n
(a, ctx3) = next ctx2
-- 关键步骤!
s1 = unify p1 (p2 --> a)
s2 = unifyctx (s1 ctx1) (s1 ctx3)我们今天正是要“统一“p1和p2 --> a。
类型统一
如何“统一”两个类型呢?主偶算法认为,应当替换某个基本类型,让两个类型相等,举例来说:对于式子f x,f为类型A,x为类型B,需要统一A和B -> C,这里的替换规则就需要将A替换成B -> C,使得A = B -> C。
TIP
💡动手试一试:如何统一以下类型?
| p1 | p2 --> a |
|---|---|
| B -> C | A |
| A -> B | C -> D |
| A | A -> B |
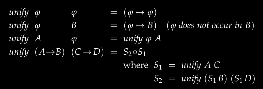
主偶算法将其定义如下:

一共四种情况,这里phi代表基本类型(Int、String),A、B代表任意柯里类型(可能是复杂的箭头类型)。
- 两边都是简单类型且相等:不需要替换,本来就一样
- 左边简单类型,右边复杂类型:返回一个映射,把左边映射到右边。如果左边在右边的类型里出现,那么不能统一(如A不论如何替换A = A -> B都显然不成立)。
- 右边简单类型,左边复杂类型:同上。
- 左右都是箭头类型:首先递归尝试统一A和C,根据映射修改B、D,再尝试统一B、D,最终映射是两个映射的组合。
于是可以写得:
unify :: CurryType -> CurryType -> (CurryType -> CurryType)
unify left right
-- 两边相等
| (Phi p1) <- left, (Phi p2) <- right, p1 == p2 = id
-- 左简单右复杂,且左式不能在右式出现
| (Phi p) <- left, p `notOccur` right =
-- 定义替换映射,替换所有p为right
let subst ty = case ty of
Phi _ -> if ty == left then right else ty
Arrow a b -> Arrow (subst a) (subst b)
in subst
-- 左复杂右简单
| (Phi _) <- right = unify right left
-- 两边均复杂
| (Arrow a b) <- left,
(Arrow c d) <- right =
let s1 = unify a c -- 首先统一A、C
s2 = unify (s1 b) (s1 d) -- 根据替换修改B、D,然后统一
in s2 . s1 -- 组合两个映射
| otherwise = error $ "Cannot unify " ++ prettyCT left ++ " and " ++ prettyCT right定义notOccur如下:
notOccur :: Label -> CurryType -> Bool
notOccur p (Phi a) = p /= a
notOccur p (Arrow a b) = p `notOccur` a && p `notOccur` b上下文统一
两边的上下文也可能冲突,考虑xy(xz),两边x的类型显然不一样(y和z根据我们之前的逻辑不可能相等,那么两个x的输入类型就肯定不一样)。我们需要统一两个上下文对变量的描述。

统一上下文用到了之前定义的unify函数,意思是说,如果某变量x在两个上下文中均有定义,那么所有这样的x都需要被统一,而具有这样效果的映射是所有单个变量修正映射的组合。
这里的Haskell代码可能比较复杂,试试看能不能看懂吧!
unifyctx :: TypeCtx -> TypeCtx -> (PrincipalPair -> PrincipalPair)
unifyctx ctx1 ctx2 = liftPP $ foldr (.) id subs
where
subs = [unify a b | (x, a) <- Map.toList env1, b <- maybeToList $ Map.lookup x env2]
env1 = env ctx1
env2 = env ctx2
liftPP :: (CurryType -> CurryType) -> (PrincipalPair -> PrincipalPair)
liftPP f (TypeCtx env l, a) = (TypeCtx (Map.map f env) l, f a)首先我们获取所有被二次定义的变量,并找出它们的修正映射:
env1 = env ctx1
env2 = env ctx2
subs = [unify a b |
(x, a) <- Map.toList env1,
-- <-并不能提取Maybe中的值,因此把它转成列表
b <- maybeToList $ Map.lookup x env2
]使用foldr组合所有映射:
foldr (.) id subs我们现在得到的映射只能修正一个类型,为了能够将其应用于整个上下文,定义liftPP将其作用于所有上下文中的类型。
liftPP :: (CurryType -> CurryType) -> (PrincipalPair -> PrincipalPair)
liftPP f (TypeCtx env l, a) = (TypeCtx (Map.map f env) l, f a)结束了...吗?

前文没写完的最后一种情况就可以补全了:
-- 只是lift了一下s1,别的一点没改
pp' ctx (Ap m n) = s2 . liftPP s1 $ (ctx1 `union` ctx3, a)
where
-- 首先递归推导函数
(ctx1, p1) = pp' ctx m
-- 递归推导输入
(ctx2, p2) = pp' ctx1 n
-- 统一两个类型
(a, ctx3) = next ctx2
s1 = unify p1 (p2 --> a)
-- 统一上下文的类型
s2 = unifyctx (s1 ctx1) (s1 ctx3)举个具体例子:推导 (\x.x) y
- 推导
(\x.x):得到{x: A}, 类型A -> A - 推导
y:得到{x: A, y: B}, 类型B - 新类型变量:
C - 统一
A->A和B->C:- 统一
A和B:把A映射到B - 统一
A和C:但A已经是B了,所以统一B和C,把B映射到C - 最终:A↦C, B↦C
- 统一
- 应用替换后:类型是
C,上下文是{x: C, y: C}
那么到这其实就实现完了,下面是Haskell小课堂时间。
一点重构
注意到我们在unify里会直接报错,这其实不太好,因为我们在类型里宣称我们可以推导任意Lambda式的类型,但我们有时候却推不出来(可以尝试推导一下\x.(x x) \x.(x x))。
在Haskell里,最简单的解决方案是返回一个Maybe,明确表示可能推不出类型:
unify :: CurryType -> CurryType -> Maybe (CurryType -> CurryType)
unify left right
-- 前几个情况加一个Just即可
| (Phi p1) <- left, (Phi p2) <- right, p1 == p2 = Just id
| (Phi p) <- left, p `notOccur` right =
let subst ty = case ty of
Phi _ -> if ty == left then right else ty
Arrow a b -> Arrow (subst a) (subst b)
in Just subst
| (Phi _) <- right = unify right left
-- 这里用了do语法链式处理Maybe
| (Arrow a b) <- left,
(Arrow c d) <- right = do
s1 <- unify a c -- 如果失败,直接返回Nothing
s2 <- unify (s1 b) (s1 d) -- 同上
return $ s2 . s1 -- return = Just
| otherwise = Nothingpp :: Term -> PrincipalPair
pp :: Term -> Maybe PrincipalPair
pp = pp' emptyEnv
where
pp' :: TypeCtx -> Term -> PrincipalPair
pp' :: TypeCtx -> Term -> Maybe PrincipalPair
pp' = ...这里我们使用了do语法,效果上来说,x <- ...会“解包”Maybe,如果是空的,直接返回空,否则将值取出来。由于next一定成功(不返回Maybe),因此用let语法表示不需要解包。最后的return相当于打包(Just一下,Maybe的Monad实现)。
还需要修改上层代码:
由于前三种情况一定成功,所以只需加一个Just满足类型约束即可。
pp' :: TypeCtx -> Term -> Maybe PrincipalPair
pp' ctx (V c) =
let (a, ctx') = next ctx
in (add c a ctx', a)
in Just (add c a ctx', a)
pp' ctx (Ab x m) = do
(ctx', p) <- pp' ctx m
case env ctx' !? x of
Just ty -> Just (ctx', ty --> p)
Nothing ->
let (a, ctx'') = next ctx'
in (add x a ctx'', a --> p)
in Just (add x a ctx'', a --> p)最后一种情况,同样使用do语法处理:
pp' ctx (Ap m n) = s2 . liftPP s1 $ (ctx1 `union` ctx3, a)
where
(ctx1, p1) = pp' ctx m
(ctx2, p2) = pp' ctx1 n
(a, ctx3) = next ctx2
s1 = unify p1 (p2 --> a)
s2 = unifyctx (s1 ctx1) (s1 ctx3)
pp' ctx (Ap m n) = do
(ctx1, p1) <- pp' ctx m
(ctx2, p2) <- pp' ctx1 n
let (a, ctx3) = next ctx2
s1 <- unify p1 (p2 --> a)
s2 <- unifyctx (apply s1 ctx1) (apply s1 ctx3)
return $ s2 . liftPP s1 $ (ctx1 `union` ctx3, a)最后我们需要修改一下unifyctx:
subs :: [Maybe (CurryType -> CurryType)]
unifyctx ctx1 ctx2 = liftPP . foldr (.) id subs
unifyctx ctx1 ctx2 = liftPP . foldr (.) id <$> sequence subs 这里<$>只是fmap的另一种写法(回忆一下,Maybe对应的fmap是什么效果?)
f <$> maybe = fmap f maybesequence比较复杂,首先看一下它的类型:
sequence :: (Traversable t, Monad m) => t (m a) -> m (t a)
-- 上述调用的具体类型:t = [a], m = Maybe
sequence :: [Maybe (... -> ...)] -> Maybe [... -> ...]具体来说,就是如果列表里有一个Nothing(失败了),那就整体返回Nothing(整体失败),反之则返回Just [...]。这正是我们想要的。
动动手,动动脑
问题1 手动推导 (\x.\y.x) (\z.z) 的类型:
- 按步骤写出每个推导阶段的上下文和类型
- 每次类型统一的替换映射是什么?
问题2 为什么 \x.(x x) 无法推导出类型?尝试手动推导并找出问题所在。
问题3 思考题:我们无法推导所有不动点组合子(因为它们都有自应用,A和A -> A没法统一),我们依赖不动点组合子来表达递归,所以我们现在还没法推导递归函数的类型。可以怎么解决这个问题?
恭喜!你现在已经理解了一个完整的类型推导算法。
完整代码参考:GitHub仓库
当然,这只是最简单的类型系统 :)
如果你想知道如何推导更复杂的情况(如何推导where?如何推导递归函数?),可以看我的下一篇博客。接下来我们会逐步引入更多概念,让Lambda式逐渐可以表达Haskell中的任意表达式。