手把手教你Lambda式类型推导,C++老登都能看懂(1)
CAUTION
C++老登其实看不懂
NOTE
预备知识:你需要熟悉 Haskell 的基本语法,了解递归和高阶函数。例如,你应该能自己实现 zipWith、map 这样的函数。
对应代码:https://github.com/xiaoshihou514/xingli
引言
在函数式编程的世界里,Lambda演算是一切的基础。这套看似简单的数学体系——只有变量、函数抽象和函数应用三条规则——却拥有与图灵机等价的表达能力,是整个函数式编程的理论基石。
当你写下Haskell中的匿名函数 \x -> x + 1,或者Scala中的 (x: Int) => x + 1,你其实就在使用Lambda式的现代变体。这些"函数值"让函数成为一等公民,可以像普通值一样传递和组合。
但为什么我们需要关心类型推导呢?
在Haskell中,你写下 map (\x -> x + 1),编译器能自动推断出整个表达式的类型是 [Int] -> [Int],而不需要你显式标注每个中间结果的类型。这种魔法的背后,正是基于Lambda式的类型推导算法。
理解类型推导,能让你:
- 🎯 深入理解Haskell类型系统:不再对类型错误信息感到困惑
- 💡 培养类型思维:真正理解类型,让类型为你所用
- 🧠 掌握现代语言设计思想:TypeScript、Rust等语言的类型系统都借鉴了这些理论
接下来,我们将手把手实现一个完整的类型推导算法,让你亲身体验Haskell编译器背后的奥秘。
基础定义
首先,定义Lambda式和类型。
Lambda式
我们先来看几个例子:
- x(一个变量)
- \x.x(恒等函数 id)
- \x.\y.x(总是返回第一个参数的函数,left)
- (\x.\y.x) (\x.x) = left id
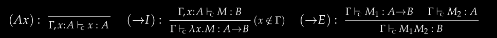
Lambda 表达式的语法由以下三条规则递归定义:
Lambda式有以下递归定义(太长不看):
- 变量:
x,y,z... - 抽象:
\x.M,M为Lambda式(相当于Haskell中的匿名函数) - 应用:
M N,M、N为Lambda式(相当于函数调用)
类型
例:A、A -> B、(A -> B) -> C、(A -> B) -> A -> B
这里我们使用最简单的柯里类型系统,即:或基本类型(Int、String等,这篇博客统一用A、B)、或箭头类型类型 -> 类型(与Haskell类型相同)
在Haskell中的表示
data Term = V Char -- 变量,如 'x'
| Ab Char Term -- 抽象,如 \x.M
| Ap Term Term -- 应用,如 M N
deriving (Eq, Show)
data CurryType = Phi Char -- 基本类型,如 A、B
| Arrow CurryType CurryType -- 函数类型,如 A -> B
deriving (Show, Eq)
-- 为了方便,我们为 Arrow 定义一个中缀运算符
(-->) :: CurryType -> CurryType -> CurryType
(-->) = Arrow我们希望能够推出\x.x的类型是A -> A,\f.\g.\x.f (g x)的类型是(B -> C) -> (A -> B) -> A -> C等。
TIP
💡动手试一试:你能尝试用Haskell写一个函数验证类型是否正确吗?这比推导类型简单得多!

如何实现:从类型签名开始
我们将实现一个称为主偶算法的类型推导算法。它的定义如下:

如果你已经看懂了,那恭喜你,你也没有看下去的必要了(
不过大多数人第一次看都会一头雾水,没关系,我们一步一步来。
理解算法的输入和输出
算法返回一个包含上下文和推导出的类型的元组。上下文是一个映射表,记录每个变量的类型,我们可以用Haskell的Data.Map来表示。
由于算法需要不断生成新的类型变量(如 A、B、C...),我们需要维护一个状态来记录当前使用到了哪个字母。为了简单起见,我们假设字母 A 到 Z 足够使用。
data TypeCtx = TypeCtx
{ env :: Map Char CurryType,
label :: Label
}定义主偶对(算法的返回结果):
type PrincipalPair = (TypeCtx, CurryType)好,现在我们可以把算法的类型写出来了:
emptyEnv :: TypeCtx
emptyEnv = TypeCtx Map.empty 'A'
pp :: Term -> PrincipalPair
-- 因为我们不能和定义里一样变出新类型名,我们得维护这个状态把它传来传去
pp = pp' emptyEnv
where
pp' :: TypeCtx -> Term -> PrincipalPair
pp' = undefined -- 待实现情况一:变量
实现式子是变量的情况:

这里公式说:看到任意变量x,推导出类型a(任意新类型名),并告诉上下文x被映射到a。
pp' ctx (V c) =
-- 记录“字母A已被使用”,现在可用字母是B
let (a, ctx') = next ctx
-- 记录“变量c的类型是A”
in (add c a ctx', a)这里的 next 函数负责生成新类型名,add 函数负责向上下文中添加新的变量-类型映射。
fresh :: Label -> Label
fresh = chr . (+ 1) . ord
next :: TypeCtx -> (CurryType, TypeCtx)
next (TypeCtx env l) = let l' = fresh l in (Phi l, TypeCtx env l')
add :: Char -> CurryType -> TypeCtx CurryType -> TypeCtx CurryType
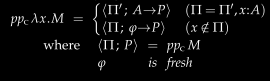
add c ty (TypeCtx env l) = TypeCtx (Map.insert c ty env) l情况二:抽象

这个规则处理 Lambda 抽象 \x.M:
- 首先推导
M的类型P - 检查上下文中是否已经知道
x的类型:- 如果知道(比如
x必须是Int -> Int),则整个表达式的类型就是x的类型 -> P - 如果不知道,就为
x分配一个新类型a,然后整个表达式的类型是a -> P
- 如果知道(比如
pp' ctx (Ab x m) =
let (ctx', p) = pp' ctx m -- 先推导 M 的类型
in case env ctx' !? x of
Just ty -> (ctx', ty --> p) -- 如果已知 x 的类型
Nothing ->
let (a, ctx'') = next ctx' -- 否则创建新类型
in (add x a ctx'', a --> p)情况三:应用
实现式子是应用的情况:

这是最复杂的情况,处理函数应用 M N:
- 分别推导
M和N的类型 - 为了使应用成立,
M的类型必须是N的类型 -> 某个新类型 - 但之前我们给变量分配的类型是任意的,所以可能需要统一(unify) 这些类型
比如:推导f x的类型,递归给出f类型为A,x类型为B。这时候需要unify这个函数找出一个映射(把A替换成符合上下文的类型),使得被映射后M的类型可以被应用到N上,同时这个映射需要修改所有已知的上下文中的类型(UnifyContext)。
另一个例子,假设我们推导 (\x.x) y:
- 推导
(\x.x)得到:ctx1 = {x: A}, 类型A -> A - 推导
y得到:ctx2 = {x: A, y: B}, 类型B
如果简单合并 ctx1 和 ctx2,可能会:
- 产生不一致的类型假设,导致逻辑错误
- 丢失信息(键可能冲突)
正确的做法:不应该简单合并,而应该通过类型统一来协调两个上下文。
这部分内容比较复杂,我们将在下一篇文章中详细讲解。
pp' ctx (Ap m n) = s2 . s1 $ (ctx1 `union` ctx3, a)
where
(ctx1, p1) = pp' ctx m
(ctx2, p2) = pp' ctx1 n
(a, ctx3) = next ctx2
s1 = unify p1 (p2 --> a)
s2 = unifyctx (s1 ctx1) (s1 ctx3)
unify :: CurryType -> CurryType -> (CurryType -> CurryType)
unifyctx :: TypeCtx -> TypeCtx -> (CurryType -> CurryType)欲知后事如何,且听下回分解。
动动手,动动脑
问题1 给定 Lambda 项:\x.\y.x
- 写出推导的调用树
- 在推导过程中,上下文会如何变化?请按步骤写出每个阶段的上下文状态。
问题2 推导 \a.a 时,假设初始 Label = 'A':
- 会生成哪些类型变量?
- 最终返回的
TypeCtx中的Label是什么?
问题3 手动推导以下 Lambda 项的类型:
\x.x(恒等函数)\x.\y.x(K 组合子)\x.\y.y(另一个常量函数)