手把手教你ML类型推导,C++老登要长脑子了
本文我们将系统介绍ML语言中的类型推导,重点解析W算法的实现原理。
ML表达式的定义
data MLTerm where
V :: String -> MLTerm
Const :: String -> MLTerm
Ab :: String -> MLTerm -> MLTerm
Ap :: MLTerm -> MLTerm -> MLTerm
Let :: (String, MLTerm) -> MLTerm -> MLTerm
Fix :: String -> MLTerm -> MLTerm
deriving (Eq, Show)相较于LCNR系统,ML表达式增加了常量(Const)和Let绑定。Let绑定类似于LCNR中的赋值操作,Fix则对应LCNR的LetRec。常量表示编程语言中的字面量,如整数、字符串、浮点数等。
ML类型的定义

ML类型系统是许多编程语言类型系统的基础,因此我们需要正确定义基本类型和多态类型。ML中的多态类型通过类型变量实现,类型可以是类型变量或基本类型(如Int、String),并可通过箭头组合成函数类型。
注意:forall量词必须出现在类型的最外层。像forall a.a -> (forall b.b -> b)这样的类型在ML中是不允许的。允许forall在任意位置出现的类型系统被称为F系统(System F),该系统虽然更强大,但已被证明无法进行类型推导。
data MLType
= -- 类型变量
Phi Char
| -- 基本类型:Int, String...
Basic String
| Arrow MLType MLType
| -- 为简洁起见,此处不强制要求量词位于顶层
Qtf Char MLType
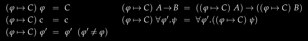
deriving (Show, Eq)ML系统中的类型替换
ML系统的类型替换需要处理从柯里类型到ML类型变量的映射,同时还需定义类型变量到基本类型的替换规则。

ML系统中的类型统一
类似地,ML系统中的类型统一算法需要考虑基本类型的情况:

W算法的实现

首先注意W算法相较于之前的算法多了一个参数v,这是一个映射表,用于确定常量的类型。因此我们定义Env类型如下:
type PrincipalPair = (MLType -> MLType, MLType)
type Env = Map String MLType
algorithmW :: Env -> MLTerm -> Maybe MLType
algorithmW v term_ = snd . snd <$> algorithmW' emptyCtx term_
where
algorithmW' :: TypeCtx -> MLTerm -> Maybe (TypeCtx, PrincipalPair)与之前类似,我们需要传递TypeCtx,而Env作为静态环境可直接捕获。
常量类型的推导
对于常量(如1、"foo"、[1, 2, 3]),我们直接从环境中获取其类型。例如,1的类型为Int,字符串的类型为String等。需要注意的是,这些类型可能是多态的,例如id的类型为forall a.a -> a。
algorithmW' ctx (Const s) = do
a <- v !? s
let (ctx', b) = freshInstance (ctx, a)
return (ctx', (id, b))为避免与现有类型变量冲突,我们需要通过freshInstance函数生成新实例:
freshInstance :: (TypeCtx, MLType) -> (TypeCtx, MLType)
freshInstance = snd . freshInstance' Map.empty
where
freshInstance' ::
Map Char MLType ->
(TypeCtx, MLType) ->
(Map Char MLType, (TypeCtx, MLType))
-- 仅替换非自由类型变量
freshInstance' env (ctx, Qtf c ty) =
let (freshTy, ctx') = next ctx
env' = Map.insert c freshTy env
in freshInstance' env' (ctx', ty)
-- 自由类型变量保持不变
freshInstance' env (ctx, Phi c) =
case Map.lookup c env of
Just ty -> (env, (ctx, ty))
Nothing -> (env, (ctx, Phi c))
freshInstance' env (ctx, Arrow left right) =
let (env', (ctx', left')) = freshInstance' env (ctx, left)
(env'', (ctx'', right')) = freshInstance' env' (ctx', right)
in (env'', (ctx'', Arrow left' right'))
freshInstance' env x = (env, x)看到这里你可能会很奇怪:类型变量还能不被量化吗?
可以的兄弟,可以的。其实仔细想一下这是很合理的,我们提到ML类型只允许forall出现在顶层,那么推导的过程中我们需要带着没被量化的类型到处跑,最后统一进行量化。
那么何时进行量化呢?通常是在推导到达顶层、不再需要进一步替换时。观察发现,唯一添加量化的位置是Let表达式(对应
变量类型的推导
对于变量,直接从上下文中读取其类型并进行替换:
algorithmW' ctx (V c) = do
a <- env ctx !? c
let (ctx', b) = freshInstance (ctx, a)
return (ctx', (id, b))抽象类型的推导
algorithmW' ctx (Ab x e) = do
let (phi, ctx') = next ctx
(ctx'', (s, a)) <- algorithmW' (add x phi ctx') e
return (ctx'', (s, s (phi --> a)))Let表达式的类型推导
Let表达式是ML的新语法结构,其效果类似于LCNR中的赋值操作。我们首先推导绑定值的类型,然后将其量化后用于后续表达式的推导:
algorithmW' ctx (Let (x, e1) e2) = do
(TypeCtx _ l, (s1, a)) <- algorithmW' ctx e1
let (TypeCtx mapping _) = apply s1 ctx
let ctx'' = TypeCtx mapping l
let sigma = generalize ctx'' a
(ctx''', (s2, b)) <- algorithmW' (add x sigma ctx'') e2
return (ctx''', (s2 . s1, b))
generalize :: TypeCtx -> MLType -> MLType其中generalize函数的作用是对所有不在上下文中的类型变量添加forall量词:
generalize :: TypeCtx -> MLType -> MLType
generalize ctx ty = Set.foldl (\f -> (f .) . Qtf) id (fvty \\ fvctx) ty
where
fvctx :: Set Char
fvctx = Set.unions $ map (free . snd) $ Map.toList (env ctx)
fvty :: Set Char
fvty = free ty
free :: MLType -> Set Char
free = free' Set.empty
where
free' :: Set Char -> MLType -> Set Char
free' env (Qtf c t) = free' (Set.insert c env) t
free' env (Phi c)
| c `elem` env = Set.empty
| otherwise = Set.fromList [c]
free' env (Arrow l r) = Set.union (free' env l) (free' env r)
free' _ (Basic _) = Set.empty这里可能有疑问:添加和移除forall量词的实际意义是什么?实际上,当类型被forall限定时,相当于将其"冻结"为多态类型变量。必须去除forall并替换为新的类型变量后,才能进一步替换为具体类型。在实际的Haskell实现中,这一过程可能显得冗余,可以考虑优化(如使用更高效的J算法),但作为定义的一部分,我们仍保留此机制。
递归表达式的类型推导
对于递归表达式,我们采用与LCNR类似的方法:先为递归标识符赋予一个类型变量,推导完成后再进行统一:
algorithmW' ctx (Fix g e) = do
let (phi, ctx') = next ctx
(ctx'', (s1, a)) <- algorithmW' (add g phi ctx') e
s2 <- unify (s1 phi) a
return (ctx'', (s2 . s1, s2 a))应用表达式的类型推导
应用表达式的推导与LCNR类似:分别推导函数和参数的类型,然后确保函数类型能够接受参数类型:
algorithmW' ctx (Ap e1 e2) = do
(ctx', (s1, a)) <- algorithmW' ctx e1
(ctx'', (s2, b)) <- algorithmW' (apply s1 ctx') e2
let (phi, ctx''') = next ctx''
s3 <- unify (s2 a) (b --> phi)
return (ctx''', (s3 . s2 . s1, s3 phi))结语
W算法作为ML类型系统的核心推导算法,通过优雅地处理多态类型、Let绑定和递归等语言特性,展现了类型推导理论的深度与美感。该算法不仅在理论上有重要意义,也为实际编程语言(如Haskell、OCaml等)的类型系统实现提供了坚实基础。
ML系统还是不支持相互递归,不过可以通过一些扩展支持,然后在实现中做一些分析简化情况等等。LCNR通过扩展也可以支持相互递归,不过那个实现被证明无法做类型推导,需要用户提示一些类型。